139.224.35.133 - /iis/file/cg/P24050100/document/


[转到父目录]

2024/5/8 10:07 192828712 B1145C KODIAK TIMBERLINE CTC 443432 Women_outlined.ai
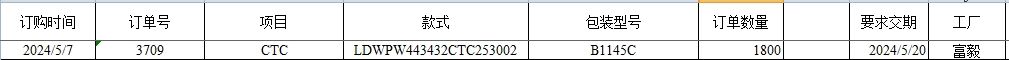
2024/5/8 10:08 15587 B1145C 订购数量.jpg
2024/5/10 9:53 1259717 B1145C.jpg